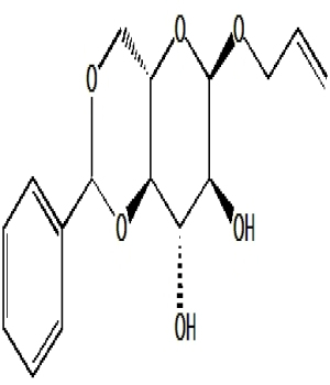
Allyl 4,6-O-benzylidene-a-L-glucopyranoside

CAS No.Allyl 4,6-O-benzylidene-α-L-glucopyranoside
Synonyms58006-33-0
Molecular FormulaC16H20O6
Molecular Weight308.33 g/mol
PackagingCustom packs
SpecificationNo spec file

 


  Share
Guaranteed Safe CheckoutTrust

Allyl 4,6-O-benzylidene-α-L-glucopyranoside is a synthetically modified L-glucose derivative featuring a benzylidene acetal protecting group across the 4 and 6 positions of the glucopyranose ring and an allyl group replacing the anomeric hydroxyl. This compound is generally a white to off-white crystalline solid, ideal for organic synthetic, biochemical, and medicinal chemistry applications. The benzylidene protection provides conformational rigidity and enhances selectivity during subsequent functionalizations, while the allyl group is a versatile handle for further modification, such as bioorthogonal “click” chemistry reactions or polymer conjugation. Its synthesis relies on stepwise protection and glycosylation, ensuring stereochemical integrity specific to the L-form. Exceptionally pure (≥98%, typically confirmed by NMR and HPLC), it is free from microbial contamination due to stringent chemical processing. With a molecular formula of C16H20O6 and a molecular weight of 296.32 g/mol, this intermediate supports efficient stereoselective glycosylation, glycomimetic synthesis, and is a critical building block for L-glycan probes or drug delivery vectors. Storage under refrigeration (2–8°C), protected from light and moisture, ensures shelf life of 1–2 years. Analytical QC includes full spectral records, COA, and batch consistency, supporting its adoption for advanced research in glycoscience, drug design, and molecular diagnostics.

IUPAC Name:

  • Allyl 4,6-O-benzylidene-α-L-glucopyranoside

Synonyms:

  • Allyl 4,6-O-benzylidene-L-glucopyranoside
  • Allyl L-glucose benzylidene acetal
  • Benzylidene-L-glucose allyl glycoside

Appearance:

  • White to off-white crystalline powder

Source:

  • Produced by chemical synthesis: protected benzylidene-L-glucose is glycosylated with allyl alcohol under controlled, anhydrous conditions

Molecular Weight and Structure:

  • Molecular formula: C16H20O6
  • Molecular weight: 296.32 g/mol
  • Structure: α-L-glucopyranose ring; 4,6-benzylidene acetal bridge; anomeric allyl ether; all stereochemistry corresponds to the L-series

Sugar Specificity:

  • Stereospecific for the α-L-glucose configuration; benzylidene group directs reactivity and selectivity for synthetic glycosylation

Biological Activity:

  • Primarily a synthetic intermediate; biological interactions mostly relevant for labeling, glycan recognition studies, and drug carrier systems; not pharmacologically active by itself

Purity and Microbial Contamination:

  • ≥98% purity verified by NMR and HPLC
    Microbial contamination negligible; lab-grade chemical synthesis with protected storage and shipment

Identity and Quality Control:

  • Full NMR spectra (1H/13C), mass spectrometry (MS), and chromatographic profile available
    COA with batch identity, melting point, and optical rotation data provided

Shelf Life and Storage:

  • Stable for 1–2 years; store at 2–8°C, dry, and shielded from light
    Avoid exposure to moisture, acids, or bases

Application:

  • Intermediate in oligosaccharide, glycomimetic, and labeled probe synthesis
    Helps build L-glycan motifs for molecular recognition, drug targeting, and imaging
    Key reagent for polymer conjugation, bioorthogonal chemistry, and carbohydrate microarrays

Key Characteristics:

  • α-L-glucopyranoside with benzylidene/allyl protection
  • CAS 58006-33-0
  • 296.32 g/mol; crystal white powder
  • Selectivity for stereospecific glycosylation
  • Facilitates non-natural glycan engineering
  • Rigorous quality checking/QC documentation
  • Stable under optimal lab conditions
  • Useful for advanced glycobiology and pharma R&D

Citations:

  • BLD Pharm product listing
  • Glentham Life Sciences product info
  • Glentham Chemical COA/identity page
  • ChemicalBook compound details
  • Sigma-Aldrich reference on related allyl glycosides
  • PMC glycosylation methodology
  • Synthose catalog of carbohydrate intermediates
  • Patent literature on benzylidene glycoside synthesis
  • Benchchem supplier profile
  • ScienceDirect review of protecting group chemistry

2. MSDS

3. Tech Data Sheets/Manuals

Based on 0 reviews

0.00 Overall
0%
0%
0%
0%
0%
Be the first to review “Allyl 4,6-O-benzylidene-a-L-glucopyranoside”

Your email address will not be published. Required fields are marked *

Write a review

Reviews

There are no reviews yet.

Category: 
My Cart
Close Wishlist
Close Recently Viewed
Categories