S-2222 (Hydrochloride and its methyl ester)

NameS-2222 (Hydrochloride and its methyl ester)
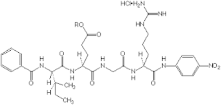
Chemical NameN-Benzoyl-L-isoleucyl-L-glutamyl-glycyl-L-arginine-p-nitroaniline hydrochloride and its methyl ester
CAS NumberN/A
FormulaBz-Ile-Glu(γ-OR)-Gly-Arg-pNA · HCl (R = H (50%) and R = CH₃ (50%))
Molecular Weight  741.22 g/mol
Catalog NoG01060054
Purity98%
Package  Vacuum foil packaging

  Share
Guaranteed Safe CheckoutTrust

S-2222 (Hydrochloride and its methyl ester), Bz-Ile-Glu(γ-OR)-Gly-Arg-pNA·HCl represents the defined mixture (50:50) of chromogenic tetrapeptide hydrochloride substrates optimized for Factor Xa amidolytic assays in coagulation research and diagnostics. Form 1 (R=CH3, γ-methyl ester: C33H47N9O9·HCl, MW 748.3) and Form 2 (R=H, free γ-acid: C32H45N9O9·HCl, MW 734.3) together provide balanced solubility, stability, and enzymatic kinetics, with Factor Xa cleaving the Arg-pNA bond to release yellow p-nitroaniline (ε405=12,700 M⁻¹cm⁻¹) for precise quantification. This formulation is the Chromogenix reference standard for anti-Xa heparin/LMWH/DOAC potency testing, prothrombin activation studies, and plasma serine protease profiling, offering superior performance over single-form variants in ISTH-validated methods.

Appearance

  • White to off-white lyophilized hygroscopic powder.
  • Highly soluble in water (1-4 mM stock); vigorous shaking/sonication required for complete dissolution.

Source

  • Solid-phase Fmoc synthesis yielding defined 50:50 mixture of γ-hydroxy and γ-methyl ester forms, HCl salted.
  • Commercial diagnostic grade from Chromogenix/DiaPharma (ref. 820316).

Molecular Weight and Structure

  • Mixture: Form 1 C33H47N9O9·HCl (748.3 Da); Form 2 C32H45N9O9·HCl (734.3 Da); average ~741.22 g/mol.
  • N-benzoyl-Ile-Glu(γ-OR 50/50)-Gly-Arg-p-nitroanilide·HCl; cleavable Arg-pNA amide bond.

Sugar Specificity

  • None (synthetic peptide chromogen without carbohydrate moieties).

Biological Activity

  • Factor Xa Km 0.5-1.0 mM (pH 8.4, 37°C); linear ΔA405 to 4 µkat/L; ε316 nm = 1.27×10⁴ M⁻¹cm⁻¹.
  • Highly selective (200:1 vs. thrombin); also cleaved by trypsin, kallikrein.

Purity and Microbial Contamination

  • >99% HPLC (both forms); free pNA <0.05%; single composite peak.
  • Endotoxin-free (<0.1 EU/mg); sterile lyophilized format.

Identity and Quality Control

  • HPLC/MS confirms 50:50 ratio (m/z 712.8/697.7 [M+H]+ forms); AA analysis 1:1:1:1; functional assay.
  • Ph. Eur./ISTH certified; specific activity per certificate of analysis.

Shelf Life and Storage

  • 5+ years lyophilized at -20°C; reconstituted stable 1 month -80°C or 1 week 2-8°C.
  • Stabilize 30 min RT post-dissolution; protect from light/moisture.

Application

  • Anti-Xa assays (UFH/LMWH/fondaparinux/DOACs); Factor X activity/potency.
  • Prothrombinase complex; ATIII/FVIII cofactor studies; plasma amidase screening.

Key Characteristics

  • Optimized 50:50 mixture prevents precipitation, maximizes solubility/activity balance.
  • Automation-compatible; no plasma interference; validated reference substrate.

Citation Links

 

2. MSDS

3. Tech Data Sheets/Manuals

Based on 0 reviews

0.00 Overall
0%
0%
0%
0%
0%
Be the first to review “S-2222 (Hydrochloride and its methyl ester)”

Your email address will not be published. Required fields are marked *

Write a review

Reviews

There are no reviews yet.

SKU: A22-1031 Category: 
My Cart
Close Wishlist
Close Recently Viewed
Categories